Duurzaam bouwen én betaalbaar wonen
VUB-onderzoek wijst uit dat het kan, met aanpasbare huizen
Duurzaam bouwen én betaalbaar wonen, die twee thema’s lijken niet te rijmen. En toch, Charlotte Cambier van de VUB-onderzoeksgroep Architectural Engineering kon in haar doctoraat aantonen dat aanpasbare woningen wel degelijk goedkoper zijn dan klassieke woningen. Een ‘aanpasbaar gebouw’ is een gebouw dat makkelijker en met minder bouwmateriaal en -afval aangepast kan worden aan de veranderde woonsituaties van de bewoners, bijvoorbeeld: alleenwonend, een klassieke gezinssituatie, kangoeroewonen, cohousing, thuiswerken, etc. Cambier kon in haar studie nawijzen dat bij een aanpasbare woning alle kosten - vanaf de bouw tot de sloop en inclusief onderhoud, reparaties en vervangingen - lager liggen.
De bouwsector is verantwoordelijk voor 39% van de CO2-uitstoot. Daarom besloot de Vlaamse regering dat vanaf 2023 nieuwbouw koolstofarm moet zijn. Dit bovenop de stijgende huizenprijzen zorgt ervoor dat een woning kopen steeds minder een evidentie wordt. Recent onderzoek van doctoraatsstudente Charlotte Cambier, onder leiding van professoren Niels De Temmerman en Waldo Galle (Architectural Engineering, Vrije Universiteit Brussel), toont aan dat aanpasbaar bouwen een belangrijke rol kan spelen in een antwoord op beide problematieken.
Verandering vooraf inplannen
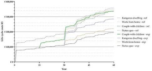
Een ‘aanpasbaar gebouw’ kan makkelijker en met minder bouwmateriaal en -afval aangepast worden aan de veranderende noden van de bewoners. Hoe? Door vooraf ruimtes zo te organiseren dat ze makkelijk te veranderen zijn en door onderdelen zoals schrijnwerk en binnenwanden demonteerbaar en herbruikbaar te maken. In het onderzoek van Cambier start de aanpasbare woning vanuit een kleine kern die op verschillende manieren kan uitgebreid worden. Door deze soort woning naast een doorsnee Vlaamse rijwoning te leggen, konden beide woningtypes op verschillende vlakken vergeleken worden.
Uit het onderzoek blijkt dat alle kosten - vanaf de bouw tot de sloop en inclusief onderhoud, reparaties en vervangingen - lager liggen bij een aanpasbare woning dan bij een klassieke woning.
Cambier: “Dit komt omdat de aanpasbare woning in de beginfase enkel met die ruimtes start die op dat moment voor de gezinssituatie nodig zijn. Hierdoor moeten er minder materialen moeten aangekocht worden, waardoor de aankoopkosten al lager liggen. Maar in de volgende jaren liggen ook de onderhoudskosten lager omdat er minder gebouwelementen zoals schrijnwerk, afwerkingsmaterialen etc. moeten onderhouden en gerepareerd worden. Om dezelfde reden is de aanpasbare woning ook materiaalefficiënter en ligt de impact op het milieu lager.
Duurzaam bouwen gaat ook verder dan enkel de hoeveelheid materialen. Duurzaamheid uit zich ook in welke materialen gebruikt worden. De woning uit het onderzoek werd daarom zowel in conventionele materialen uitgewerkt, zoals beton of baksteen, als in demonteerbare materialen. Die laatste maken aanpassingen eenvoudiger, zoals bijvoorbeeld door lichtgewicht materialen te gebruiken die verbonden worden met omkeerbare verbindingen (bv. houtskelet, bouten).
Cambier: “Het gebruik van andere materialen maakte financieel gezien wel geen verschil uit, maar kan op lange termijn wel voordeliger uitvallen. Men kan de demonteerbare materialen immers na gebruik doorverkopen. En je bent duurzaam bezig omdat het het materiaal hergebruikt kan worden. Met conventionele bouwmaterialen en -technieken is dit praktisch onmogelijk en financieel niet interessant. Anders zou er niet bij elke huidige renovatie een afvalcontainer klaarstaan.”
Duurzaam bouwen – het VUB Circular Retrofit lab toont de weg
In dezelfde onderzoekslijn huldigde het onderzoeksteam VUB Architectural Engineering in 2019 het Circular Retrofit Lab in, waar acht iconische studentenkoten op de campus Etterbeek werden omgebouwd tot het eerste Europese circulaire renovatieproject. Na hiermee de technische haalbaarheid aangetoond te hebben, rees de vraag ‘Hoe maken we circulair bouwen betaalbaar?’ Het team onderzoekt momenteel hoe het nemen van de juiste beslissingen tijdens het ontwerpproces de circulariteit van gebouwen kan doen toenemen terwijl de lasten op de lange termijn verlagen. Het anticiperen van toekomstige renovaties en het gebruik van omkeerbare verbindingen blijkt alvast een beloftevol antwoord.
Contact:
Charlotte Cambier
VUB Architectural Engineering
0492 31 44 67



